CARBOHIDRATOS
INTRODUÇÃO

El carbono es un elemento con dos alótropos naturales (grafito y diamante), pero se combina con otros elementos para formar millones de compuestos orgánicos.

El hidrógeno es el más simple de los elementos químicos. También es el elemento más abundante en el universo. Los científicos utilizan símbolos para representar los elementos químicos. El símbolo del hidrógeno es H.
Un elemento gaseoso incoloro, insípido e inodoro que se encuentra en la atmósfera, en el agua, en la mayoría de las rocas y minerales y en numerosos compuestos orgánicos. Es esencial para la vida, ya que entre los organismos vivos solo algunas formas de vida vegetal pueden existir sin él.
En el proceso de respiración, se lleva aire a los pulmones, donde se absorbe una gran cantidad de oxígeno en la sangre. Luego se transporta a todas las partes del cuerpo, oxidando los tejidos desgastados y transformándolos en sustancias de fácil eliminación. El oxígeno también constituye aproximadamente el 21% de la atmósfera de la Tierra y puede combinarse con todos los elementos de la tabla periódica, excepto los gases inertes. Su número atómico es 8 y su símbolo es O.
TIPOS CARBOHIDRATOS
Existen cuatro tipos, en función de su estructura química: los monosacáridos, los disacáridos, los oligosacáridos y los polisacáridos.
1. Monosacáridos
Son los más simples, están formados por una sola molécula. Esto los convierte en la principal fuente de combustible para el organismo y hace posible que sean usados como una fuente de energía y también en

Una reacción química es un proceso en que dos o más sustancias reaccionan entre sí generando modificaciones en sus estructuras moleculares o, incluso una nueva mezcla química que tenga propiedades diferentes a las que la originan. En una reacción química participan las llamadas sustancias reactivas, ya sean elementos químicos puros u otras mezclas. Al resultado de esta reacción se le denomina producto y nuestro mundo está lleno de ellos.

El anabolismo es el conjunto de procesos del metabolismo que tienen por fin la síntesis de componentes celulares a partir de precursores de baja masa molecular, por lo que también recibe el nombre de biosíntesis. Es una de las dos partes en que suele dividirse el metabolismo. Aunque anabolismo y catabolismo son dos procesos contrarios, los dos funcionan de forma conjunta y armónica, y constituyen una unidad difícil de separar.
2. Glucosa
Es un monosacárido compuesto de seis carbonos y, por lo tanto, se clasifica como hexosa. Es la principal molécula de este grupo responsable del suministro de energía a los seres vivos, siendo sintetizada por organismos autótrofos, a través de la fotosíntesis, y almacenada en moléculas más complejas, que se discutirán más adelante.
3. Ribosa
La ribosa, compuesta de cinco carbonos (pentosa), es una parte constituyente del ATP, responsable de desempeñar funciones relacionadas con los procesos de energía en las células. Además, también participa en la composición de

La molécula es la partícula más pequeña que presenta todas las propiedades físicas y químicas de una sustancia, y se encuentra formada por dos o más átomos. Los átomos que forman las moléculas pueden ser iguales (como ocurre con la molécula de oxígeno, que cuenta con dos átomos de oxígeno) o distintos (la molécula de agua, por ejemplo, tiene dos átomos de hidrógeno y uno de oxígeno).
4. Frutosa
La fructosa se encuentra en la miel de abeja y algunos jugos de frutas. La galactosa es un monosacárido que se forma, junto con la glucosa, cuando las enzimas digestivas fraccionan la lactosa o azúcar de la leche.
5. Disacáridos
Son otro tipo de carbono que, como indica su nombre, están formados por dos moléculas de los monosacáridos. También son conocidos como oligosacáridos. Entre los disacáridos más comunes están la sacarosa (el más abundante, que constituye la principal forma de transporte de los glúcidos en las plantas y organismos vegetales y es el nombre científico para el azúcar de mesa), la lactosa o azúcar de la leche, la maltosa (que proviene de la hidrólisis del almidón) y la celobiosa (obtenida de la hidrólisis de la celulosa). Entre los disacáridos más comunes están:
6. Sacarosa
Con un sabor extremadamente dulce, está muy presente en nuestra vida diaria, ya que este carbohidrato es nuestro azúcar común/ de mesa. Es el resultado de la unión de una molécula de glucosa y otra de fructosa, que se encuentra en algunos vegetales, como la caña de azúcar y la remolacha.
7. Lactosa
Formada por glucosa y galactosa, esta molécula se encuentra en la leche, siendo la principal fuente de alimento para los bebés. Algunas personas tienen intolerancia a esta sustancia, debido a la ausencia o mal funcionamiento de la enzima responsable de su digestión: la lactasa.
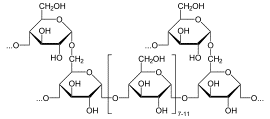
8. Polisacáridos
Son cadenas de 10, 20 o más monosacáridos cuya función en el organismo se relaciona normalmente con labores de estructura o de almacenamiento. Ejemplos de polisacáridos comunes son el almidón, la amilosa, el glucógeno, la celulosa y la quitina.
9. Almidón
Formado por varias unidades de glucosa, es almacenado por plantas y algas, funcionando como reserva de energía para ellas. Por lo tanto, cuando hay demanda, el almidón se somete a hidrólisis, liberando moléculas de esta hexosa. El almidón es una parte integral de nuestra dieta, ya que está presente en algunos granos, raíces y tubérculos.
9. Glucógeno
Es la molécula de almacenamiento de energía de los animales, siendo el hígado responsable de unir las unidades de glucosa, formando este polisacárido y también por hacer que se rompan, en cortos períodos de falta de glucosa. Se produce en el cuerpo humano y a veces se conoce como almidón animal. Se forma a partir de los monosacáridos resultantes de la digestión del almidón alimentario. El almidón de arroz o de la yuca se divide en los intestinos para formar moléculas de monosacáridos, que pasan al torrente sanguíneo. El

El glucógeno es un polisacárido de reserva energética formado por cadenas ramificadas de glucosa; no es soluble en agua, por lo que forma dispersiones coloidales. Abunda en el hígado y en menor cantidad en el músculo.
10. Celusosa
Es el carbohidrato más abundante en la naturaleza, algunas veces se denominan carbohidratos no disponibles, presente en las células vegetales, proporcionando rigidez y resistencia. Formado por moléculas de glucosa, en una forma ligeramente diferente de los polisacáridos ya mencionados, no es digerido por los animales, ya que no tienen

La celulosa es un compuesto químico orgánico muy común en el reino vegetal y en algunos seres del reino protista. En consecuencia, constituye la biomolécula más abundante de nuestro planeta. Se trata de un biopolímero, o sea, una cadena larga de hidratos de carbono, compuesta exclusivamente por moléculas de glucosa (β-glucosa) unidas entre sí por puentes de hidrógeno. Se describe con la fórmula química C6H10O5.
11. Oligosacáridos
La estructura de estos carbohidratos es variable, pueden estar compuestos de tres a nueve moléculas de monosacáridos, unidas por enlaces y liberadas durante el proceso de hidrólisis, al igual que los disacáridos. En muchos casos, los oligosacáridos parecen unirse a proteínas, dando lugar a las llamadas glicoproteínas.
12. Glucoproteínas
Las glicoproteínas o glicoproteínas son moléculas compuestas por proteínas unidas a uno o más carbohidratos (monosacáridos o compuestos). Entre otras funciones, también son sorprendentes cuando existen estructuras y reconocimiento celular en la superficie de la membrana plasmática. Las glicoproteínas son diversas hormonas, anticuerpos, diversas enzimas, proteínas receptoras, proteínas de adhesión celular, factores de crecimiento, proteínas de reconocimiento celular, proteínas que imparten características de grupo sanguíneo y proteínas que imparten estabilidad estructural a combinaciones de múltiples moléculas.
FUNCIÓN DE LOS CARBOHIDRATOS
La función principal que realizan los carbohidratos es el aporte de energía esencial diaria. Sin embargo, tiene otras tareas relacionadas con la salud física y el funcionamiento normal del organismo. Algunas de las tareas de los carbohidratos son:
1. Llena de energía
Los carbohidratos actúan como reserva de energía y se pueden usar de inmediato porque el almacenamiento de energía tiene la capacidad necesaria de rápido movimiento para producir glucosa. Esta característica significa que el aporte de carbohidratos debe ser diario.
2. Conservan proteínas
Cuando se usan carbohidratos como gasolina, la proteína no se puede usar porque la proteína se puede usar para muchas otras funciones.
3. Forman parte de organizaciones importantes
Forman parte de organizaciones importantes Los carbohidratos son una parte esencial del tejido conectivo y del tejido nervioso. Además, también están presentes en moléculas de ADN y
Sustancia presente en todas las células vivas que proporciona energía para muchos procesos metabólicos y participa en la elaboración del ARN. El trifosfato de adenosina que se produce en el laboratorio está en estudio en pacientes con tumores sólidos avanzados para determinar si puede disminuir la pérdida de peso y mejorar la fuerza muscular. También se llama TFA.
4. Prevenir cetonas
Cuando el cuerpo humano no tiene suficientes carbohidratos para obtener energía, el cuerpo humano usa grasa en su lugar, que produce productos de desecho llamados cuerpos cetónicos. Estas abundancias pueden provocar arritmias y posible

La osteoporosis es una enfermedad esquelética en la que se produce una disminución de la densidad de masa ósea. Así, los huesos se vuelven más porosos, aumenta el número y el tamaño de las cavidades o celdillas que existen en su interior, son más frágiles, resisten peor los golpes y se rompen con mayor facilidad.
5. Autoridad reguladora
La fibra (fibra dietética) es la encargada de regular el transporte intestinal, además tiene otros efectos beneficiosos para la salud como:
- Reduce el estreñimiento suavizando las heces y aumentando su volumen.
- Incrementa la saciedad. Ralentiza el vaciado del estómago.
- Reduce la absorción de colesterol y otras sustancias.
- Para los diabéticos, puede reducir los niveles elevados de azúcar en sangre.
- Puede tener un efecto protector sobre el cáncer de colon y las enfermedades cardiovasculares.
CARBOHIDRATOS QUE DEBES EVITAR
Los carbohidratos son importantes para una dieta normal. Proporcionan energía para el funcionamiento normal del cerebro y el cuerpo. Además, muchos carbohidratos son ricos en fibra y otros nutrientes y pueden ser una dieta equilibrada.
Sin embargo, algunos carbohidratos están compuestos básicamente por azúcar, aunque puedes consumirlos de vez en cuando (como snack), suelen provocar un pico de azúcar, lo que no es bueno para tu organismo (desde el punto de vista nutricional).
1. Arroz Blanco
El sabor del arroz blanco es súper bueno, pero debido a su refinado proceso, no tiene mucha fibra. En un cuarto de taza, hay 36 gramos de carbohidratos. Y sé que es malo eliminarlo de la dieta, pero puedes reemplazarlo con quinua, que tiene más fibra y proteínas, y menos carbohidratos.
2. Cereal de caja
Incluso los cereales y la granola saludables tienen un alto contenido de azúcar. Hay 22 gramos de carbohidratos en cada taza. Lo ideal es reemplazarla por avena integral, que es rica en fibra y reduce el

El colesterol es una sustancia cerosa y parecida a la grasa que se encuentra en todas las células de su cuerpo. Su cuerpo necesita algo de colesterol para producir hormonas, vitamina D y sustancias que le ayuden a digerir los alimentos. Su cuerpo produce todo el colesterol que necesita. El colesterol también se encuentra en alimentos de origen animal, como yemas de huevo, carne y queso.
3. Pan Blanco
Cada tableta contiene 31 gramos de carbohidratos y es tan refinada sin nutrientes. Cámbielo por pan integral o de semillas, que contiene nutrientes como proteínas, fibra y omega.
4. Tortita
Se ven saludables porque algunas personas consumen frutas, pero desafortunadamente, tienen un alto contenido de calorías y carbohidratos. Si realmente te gustan, puedes comerlos de vez en cuando, pero no con frecuencia.
5. Papas fritas
Este bocadillo salado contiene muchos carbohidratos innecesarios. La buena noticia es que hoy puedes reemplazarlos por versiones más saludables.
6 . Pasta blanca
Aunque la pasta es barata y fácil de hacer, es rica en carbohidratos. Cada taza tiene 43 gramos. Puede reemplazarlo con pasta de trigo integral, pero sigue siendo muy dañino.
7. Tortillas de harina
La mayoría de ellos son ricos en harina y aceite hidrogenado, y cada tortilla contiene 35 gramos de carbohidratos. Lo ideal es reemplazarlo con tortillas, si quieres lucir más saludable, usa tortillas de lechuga sin calorías.
8. Zumo de frutas
Hay mucha azúcar y la mayoría de los líquidos son indeseables. Lo ideal sería evitarlos por completo y beber agua natural sin edulcorantes artificiales.
9. Yogur aromatizado
El yogur es bueno para su cuerpo, siempre que consuma aditivos que no contengan azúcar. El yogur contiene azúcares y carbohidratos naturales y saludables, pero cuando el yogur contiene azúcar extra (y fruta), una taza puede contener hasta 45 gramos de carbohidratos.
10. Barra de energía
Una barra contiene un promedio de 45 gramos de carbohidratos, que pueden proporcionarle suficiente energía, pero no es la opción más saludable todos los días. Lo peor de todo es que también son ricas en azúcar y almíbar. Idealmente, compre granos que tengan la menor cantidad de ingredientes y azúcar y más proteínas.
BENEFICIOS PARA LA SALUD DE UNA DIETA BAJA EN CARBOHIDRATOS
1. Reducción del apetito.
La reducción ocurre porque la ingesta baja de carbohidratos lleva a no tener mucho apetito, porque pesa mucho en el cuerpo, y luego, comiendo cosas más livianas, no necesitamos mucha masa.
2. Una dieta baja en carbohidratos.
Conduce a perder peso más rápido, esto se debe a que las dietas bajas en carbohidratos actúan para eliminar el exceso de agua del cuerpo, disminuyendo los niveles de insulina y conduciendo a una rápida pérdida de peso en la primera o segunda semana.
3. Los Los triglicéridos son un tipo de grasa. Son el tipo más común de grasa en su cuerpo. Provienen de alimentos, especialmente mantequilla, aceites y otras grasas que usted come. Los triglicéridos también provienen de calorías adicionales. Estas son las calorías que usted come pero que su cuerpo no necesita de inmediato.
Los triglicéridos son moléculas de grasa que circulan en el torrente sanguíneo, por lo que cuando se reducen los carbohidratos, tiende a haber una reducción radical, y esto puede ayudar tanto con la pérdida de peso como con la salud.
4. Aumento de los niveles de colesterol “bueno” para HDL.
La lipoproteína de alta densidad (
Significa lipoproteínas de alta densidad en inglés. En ocasiones se le llama colesterol “bueno” porque transporta el colesterol de otras partes de su cuerpo de vuelta al hígado. Su hígado luego elimina el colesterol de su cuerpo.
Significa lipoproteínas de baja densidad en inglés. A veces se le llama colesterol “malo” porque un nivel alto de LDL lleva a una acumulación de placa en las arterias
5. Puede bajar la presión arterial
La presión arterial alta, o hipertensión, es un factor de riesgo importante para muchas enfermedades, incluidas las enfermedades cardíacas, los accidentes cerebrovasculares y la

La falla renal, también llamada enfermedad renal de etapa termina (ERET o ESRD por sus siglas en ingles), es la última etapa de la enfermedad renal crónica. Cuando tus riñones fallan, esto quiere decir que han parado de trabajar suficiente para sobrevivir sin el tratamiento de diálisis o un trasplante de riñón.
6 . Efectivo contra el síndrome metabólico
El síndrome metabólico es una condición altamente asociada con el riesgo de diabetes y enfermedades cardíacas. De hecho, el síndrome metabólico es un conjunto de síntomas, que incluye:
• Obesidad abdominal
• Hipertensión
• Niveles altos de azúcar en sangre en ayunas
• Triglicéridos altos
• Niveles “buenos” bajos de colesterol HDL
• Sin embargo, una dieta baja en carbohidratos es increíblemente efectiva para tratar estos cinco síntomas.